Make Power Fun (Again?)

Brandon LeBeau

2017-02-24

Overview

  1. (G)LMMs
  2. Power
  3. simglm package
  4. Shiny Demo - Broken!

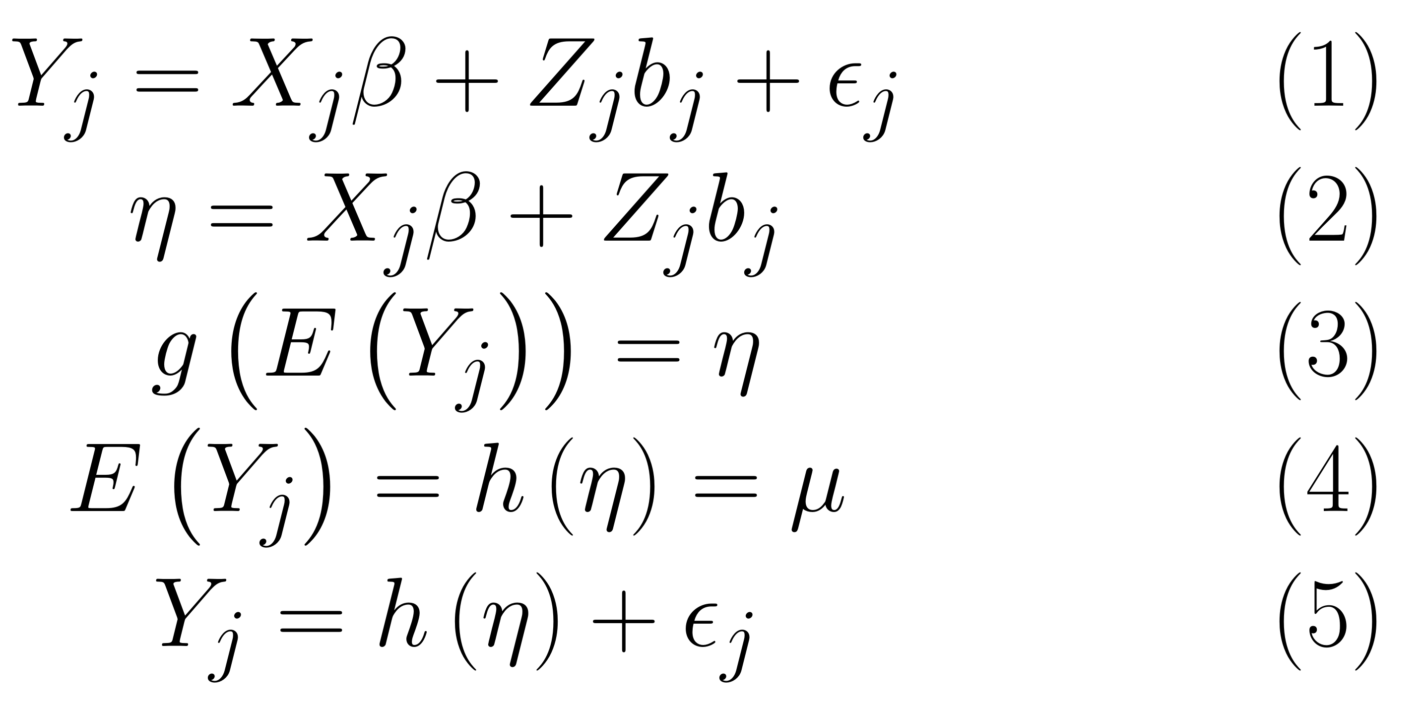
Linear Mixed Model (LMM)

Power

  • Power is the ability to statistically detect a true effect (i.e. non-zero population effect).
  • For simple models (e.g. t-tests, regression) there are closed form equations for generating power.
    • R has routines for these: power.t.test, power.anova.test
    • Gpower3

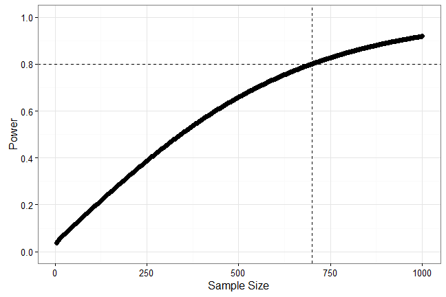
Power Example

n <- seq(4, 1000, 2)
power <- sapply(seq_along(n), function(i) 
  power.t.test(n = n[i], delta = .15, sd = 1, type = 'two.sample')$power)

Power for (G)LMM

Power is hard

  • In practice, power is hard.
  • Need to make many assumptions on data that has not been collected.
    • Therefore, data assumptions made for power computations will likely differ from collected sample.
  • A power analysis needs to be flexible, exploratory, and well thought out.

Power is Fun?

  • Three common reasons to do power analysis:
    1. Power evidence for grant/planning
    2. Post Hoc to explore insignificant results
    3. Monte Carlo studies

simglm Overview

  • simglm aims to simulate (G)LMMs with up to three levels of nesting (aim to add more later).
  • Flexible data generation allows:
    • any number of covariates and discrete covariates
    • change distribution of continuous covariates
    • change random distribution
    • unbalanced data
    • missing data
    • serial correlation

Power with simglm

  • Power with simglm takes on a Monte Carlo approach
    • This can provide a more thorough analysis/understanding of power.
  • Always outputs a data frame
    • Useful for plotting
    • Data manipulation
    • etc.
  • Serves as a wrapper around data generation process.

Power Analysis with simglm

  • Factorial Design:
    1. Idenfity factors that influences power
    2. Determine number of replications
    3. Explore results
  • Future Development
    1. Add ability for data generation and power model to differ

Simple Example

  • Suppose we wished to generate data for a simple logistic regression.
library(simglm)

fixed <- ~ 1 + act + diff
fixed_param <- c(0.1, 0.5, 0.3)
cov_param <- list(dist_fun = c('rnorm', 'rnorm'),
                  var_type = c("single", "single"),
                  opts = list(list(mean = 0, sd = 2),
                              list(mean = 0, sd = 4)))
n <- 50
temp_single <- sim_glm(fixed = fixed, fixed_param = fixed_param, 
                      cov_param = cov_param, 
                      n = n, data_str = "single")

Output

head(temp_single)
##   X.Intercept.         act       diff       Fbeta  logistic sim_data ID
## 1            1 -0.02913722 -0.4430546 -0.04748497 0.4881310        1  1
## 2            1  0.66199364  2.1443743  1.07430910 0.7454155        1  2
## 3            1  1.44621026 -1.1909231  0.46582819 0.6143959        0  3
## 4            1 -0.26011629  3.4395304  1.00180096 0.7314125        0  4
## 5            1 -0.09984213  0.8485436  0.30464201 0.5755769        1  5
## 6            1 -2.72704127  3.3246515 -0.26612517 0.4338586        0  6

Simple Power Analysis

  • Suppose we wish to use the same generating model for a power analysis
pow_param <- c('(Intercept)', 'act', 'diff')
alpha <- .01
pow_dist <- "z"
pow_tail <- 2
replicates <- 100

power_out <- sim_pow_glm(fixed = fixed, fixed_param = fixed_param, 
                         cov_param = cov_param, 
                         n = n, data_str = "single", 
                         pow_param = pow_param, alpha = alpha,
                         pow_dist = pow_dist, pow_tail = pow_tail, 
                         replicates = replicates)

Output

power_out
## # A tibble: 3 × 6
##           var avg_test_stat sd_test_stat power num_reject num_repl
##        <fctr>         <dbl>        <dbl> <dbl>      <dbl>    <dbl>
## 1 (Intercept)      0.878713    0.6709319  0.01          1      100
## 2         act      2.342617    0.5777646  0.34         34      100
## 3        diff      2.609432    0.5506204  0.56         56      100

Varying Arguments

  • Now suppose we wish to vary the following arguments:
    • Vary n - 50 vs 150
    • vary effect size on diff - .3 vs .45
terms_vary <- list(n = c(50, 150),
                   fixed_param = list(c(0.1, 0.5, 0.3), 
                                      c(0.1, 0.5, 0.45)))

power_out <- sim_pow_glm(fixed = fixed, fixed_param = fixed_param, 
                         cov_param = cov_param, 
                         n = n, data_str = "single", 
                         pow_param = pow_param, alpha = alpha,
                         pow_dist = pow_dist, pow_tail = pow_tail, 
                         replicates = replicates, 
                         terms_vary = terms_vary)

Output

power_out
## Source: local data frame [12 x 8]
## Groups: var, n [?]
## 
##            var     n  fixed_param avg_test_stat sd_test_stat power
##         <fctr> <dbl>       <fctr>         <dbl>        <dbl> <dbl>
## 1  (Intercept)    50  0.1,0.5,0.3     0.7778328    0.5863240  0.00
## 2  (Intercept)    50 0.1,0.5,0.45     0.8364212    0.6377631  0.01
## 3  (Intercept)   150  0.1,0.5,0.3     0.8629973    0.5814426  0.00
## 4  (Intercept)   150 0.1,0.5,0.45     0.9183353    0.6879182  0.01
## 5          act    50  0.1,0.5,0.3     2.4246997    0.6222346  0.44
## 6          act    50 0.1,0.5,0.45     2.2247451    0.6688308  0.34
## 7          act   150  0.1,0.5,0.3     4.3196568    0.6233962  0.99
## 8          act   150 0.1,0.5,0.45     3.9515646    0.6332452  0.97
## 9         diff    50  0.1,0.5,0.3     2.7887204    0.4892985  0.73
## 10        diff    50 0.1,0.5,0.45     3.0747886    0.3988745  0.89
## 11        diff   150  0.1,0.5,0.3     4.7892881    0.5025082  1.00
## 12        diff   150 0.1,0.5,0.45     5.6060130    0.2823105  1.00
## # ... with 2 more variables: num_reject <dbl>, num_repl <dbl>

Move to Mixed Models

  • It is simple to move from single level to multilevel or mixed models.
fixed <- ~1 + time + diff + act + time:act
random <- ~1 + time
fixed_param <- c(0, 0.2, 0.1, 0.3, 0.05)
random_param <- list(random_var = c(3, 2), rand_gen = "rnorm")
cov_param <- list(dist_fun = c('rnorm', 'rnorm'),
                  var_type = c("lvl1", "lvl2"),
                  opts = list(list(mean = 0, sd = 3),
                              list(mean = 0, sd = 2)))
n <- 50
p <- 6
data_str <- "long"

temp_long <- sim_glm(fixed = fixed, random = random, fixed_param = fixed_param,
                     random_param = random_param, cov_param = cov_param,
                     n = n, p = p, k = NULL, data_str = data_str)

Output

head(temp_long)
##   X.Intercept. time        diff        act   time.act        b0        b1
## 1            1    0 -6.76572749 -0.3932853  0.0000000 -1.947485 -2.295427
## 2            1    1  0.15530420 -0.3932853 -0.3932853 -1.947485 -2.295427
## 3            1    2  0.07605058 -0.3932853 -0.7865707 -1.947485 -2.295427
## 4            1    3 -1.11192544 -0.3932853 -1.1798560 -1.947485 -2.295427
## 5            1    4 -4.17141062 -0.3932853 -1.5731413 -1.947485 -2.295427
## 6            1    5  4.77024867 -0.3932853 -1.9664267 -1.947485 -2.295427
##         Fbeta    randEff   logistic         prob sim_data withinID clustID
## 1 -0.79455835  -1.947485  -2.742044 6.053757e-02        0        1       1
## 2  0.07788055  -4.242913  -4.165032 1.529175e-02        0        2       1
## 3  0.25029093  -6.538340  -6.288049 1.854935e-03        0        3       1
## 4  0.31182906  -8.833767  -8.521938 1.990136e-04        0        4       1
## 5  0.18621627 -11.129195 -10.942978 1.768142e-05        0        5       1
## 6  1.26071793 -13.424622 -12.163904 5.215325e-06        0        6       1

Doing Power

  • Power is also easily extended.
pow_param <- c('time', 'diff', 'act')
alpha <- .01
pow_dist <- "z"
pow_tail <- 2
replicates <- 20

power_out <- sim_pow_glm(fixed = fixed, random = random, 
                     fixed_param = fixed_param, 
                     random_param = random_param, cov_param = cov_param, 
                     k = NULL, n = n, p = p,
                     data_str = data_str, unbal = FALSE, pow_param = pow_param, 
                     alpha = alpha, pow_dist = pow_dist, pow_tail = pow_tail,
                     replicates = replicates)

Output

power_out
## # A tibble: 3 × 6
##      var avg_test_stat sd_test_stat power num_reject num_repl
##   <fctr>         <dbl>        <dbl> <dbl>      <dbl>    <dbl>
## 1    act      12.06197     46.70227  0.20          4       20
## 2   diff      11.89673     45.13827  0.25          5       20
## 3   time      18.78877     79.36869  0.05          1       20

Vary Arguments

  • Perhaps our effect size estimate is conservative.
terms_vary <- list(fixed_param = list(c(0, 0.2, 0.1, 0.3, 0.05), 
                                      c(0, 0.2, 0.3, 0.3, 0.05)))

power_out <- sim_pow_glm(fixed = fixed, random = random, 
                     fixed_param = fixed_param, 
                     random_param = random_param, cov_param = cov_param, 
                     k = NULL, n = n, p = p,
                     data_str = data_str, unbal = FALSE, pow_param = pow_param, 
                     alpha = alpha, pow_dist = pow_dist, pow_tail = pow_tail,
                     replicates = replicates, 
                     terms_vary = terms_vary)

Output

power_out
## Source: local data frame [6 x 7]
## Groups: var [?]
## 
##      var        fixed_param avg_test_stat sd_test_stat power num_reject
##   <fctr>             <fctr>         <dbl>        <dbl> <dbl>      <dbl>
## 1    act 0,0.2,0.1,0.3,0.05     1.1914255    0.8114762  0.10          2
## 2    act 0,0.2,0.3,0.3,0.05    22.9059014   96.3531136  0.15          3
## 3   diff 0,0.2,0.1,0.3,0.05     1.3071639    0.8681348  0.05          1
## 4   diff 0,0.2,0.3,0.3,0.05    17.4774138   62.2814403  0.95         19
## 5   time 0,0.2,0.1,0.3,0.05     0.9281452    0.7670600  0.05          1
## 6   time 0,0.2,0.3,0.3,0.05    12.1678311   49.9607401  0.05          1
## # ... with 1 more variables: num_repl <dbl>

Shiny App

  • Note: This app currently looks nice, but is utterly broken!
shiny::runGitHub('simglm', username = 'lebebr01', subdir = 'inst/shiny_examples/demo')

or

devtools::install_github('lebebr01/simglm')
library(simglm)
run_shiny()
  • Must have following packages installed: simglm, shiny, shinydashboard, ggplot2, lme4, DT.

simglm timeline

Questions?