Measuring Psychological Constructs over a Developmental Span: Methodological Approaches

Brandon LeBeau

2020-02-14

Background

  • Petersen, I. T., Lindhiem, O., LeBeau, B., Bates, J. E., Pettit, G. S., Lansford, J. E., & Dodge, K. A. (2018). Development of internalizing problems from adolescence to emerging adulthood: Accounting for heterotypic continuity with vertical scaling. Developmental psychology, 54(3), 586.
  • Peterson, I.T. & LeBeau, B. (In Press). Language Ability in the Development of Externalizing Behavior Problems in Childhood. Journal of Educational Psychology.
  • Peterson, I.T. & LeBeau, B. (Under Review). Creating a Developmental Scale to Chart the Development of Psychopathology with Different Informants and Measures across Time. Journal of Abnormal Psychology.
  • Peterson, I.T., LeBeau, B., Choe, D.E. (Under Review). Creating a Developmental Scale to Account for Heterotypic Continuity in Development: A Simulation Study. Child Development.
  • NIH Grant Application

Methodological Problem

  • Heterotypic Continuity
    • Behavioral manifestations change with development.
  • The following aspects across time change:
    1. Rank order across people
    2. Level on the construct
    3. Strength of construct.

Common Approaches in Psychology

  1. Using only common items across time
  2. Use all item over time
  3. Factor Analytic/IRT approaches with linking
  4. SEM

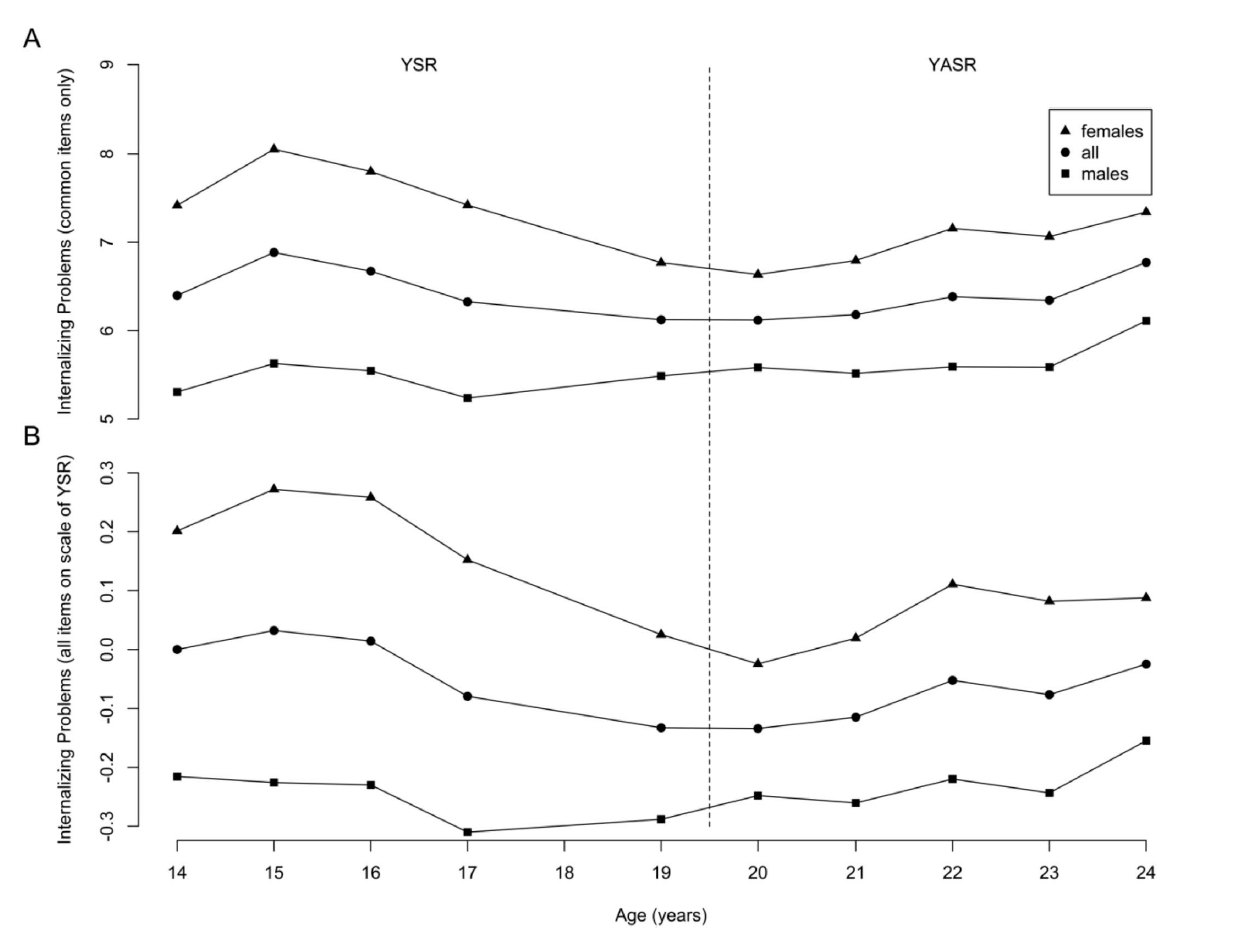
Internalizing Problems

Growth Internalizing Problems

Externalizing Problems

  1. We examined whether within-child changes in language ability predict concomitant within-child changes in externalizing problems
  2. We examined whether social skills are a potential mechanism that explains the association between language ability and externalizing problems

Externalizing Measures

  • CBCL 4 - 18: Mothers from 4 to 10 years of age.
  • TRF: Teachers from age 4 to 10, age 4 was a preschool or other caregiver.
  • We created developmental scales using IRT and linking for each rater independently.
  • Separate mixed models fitted for each rater.
  • Explored cross-lagged panel models as well.

Linking example

Growth Trajectories

Externalizing Problems - Changing Measures

Linking Design

Model Implied Trajectories

Language Effect

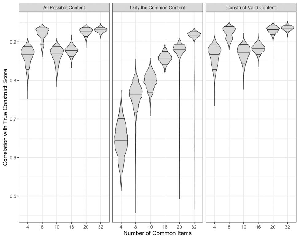
A Simulation

Approaches

  1. All possible content: Summed scores
  2. Only common content: Summed scores
  3. Construct valid content: IRT developmentally scaled factor scores
  4. Construct valid contnet: IRT factor scores (not developmentally scaled)
  5. All possible content: IRT developmentally scaled factor scores
  6. All possible content: IRT factor scores (not developmentally scaled)

Balanced Design

  • Number of Items: 20 or 40 items
  • Proportion of common content: .2, .5, .8
  • Change in severity (difficulty) common content: -0.5, -0.25, -0.1, 0, 0.1, 0.25, 0.5
  • Average severity (difficulty) unique content: -2, -1, 0, 1, 2

Unbalanced Design

  • Varied:
    • Change in severity (difficulty) common content: -0.5, 0.5
    • Average severity (difficulty) unique content: -2, 0, 2
  • Fixed:
    • Number of Items: 15 time 1; 25 time 2; 40 time 3
    • Common items fixed at 10

Simulation process

  1. Randomly generate item parameters for common items
    • Discrim: log normal, mean 0, sd 0.25
    • Severity: Normal, mean 0, sd 1
  2. Linked item parameters across time based on change in severity of common content.
  3. Randomly generate item parameters for unique items
  4. Randomly generate latent externalizing problems scores (i.e. factor scores), normal: mean 0, sd 1
  5. Simulate item responses using item parameters and factor scores.

Simulation Process 2

  • For all item content:
    • Transformed unique non-construct valid content, add 5 SD to severity, cut discrimination in half.

Outcomes

  1. Standardized slope estimates
  2. Bias in factor scores at time 1
  3. Mean absolute error of factor scores at time 1

Standardized Slope

o # Correlations

Thank You

  • Questions?
  • https://brandonlebeau.org/slides/casma2020/